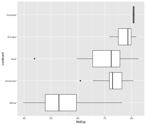
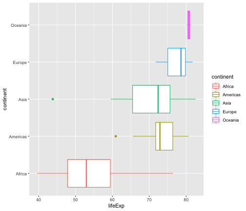
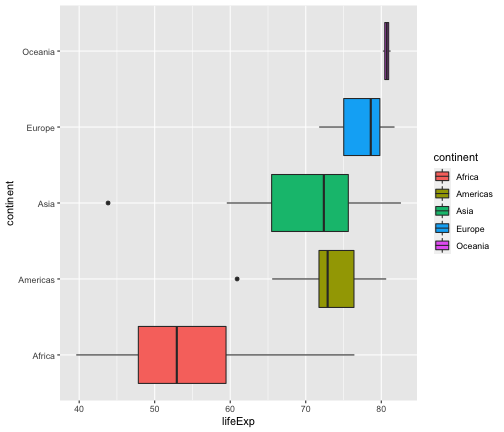
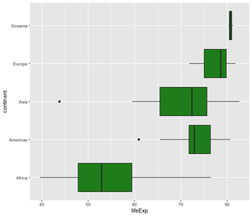
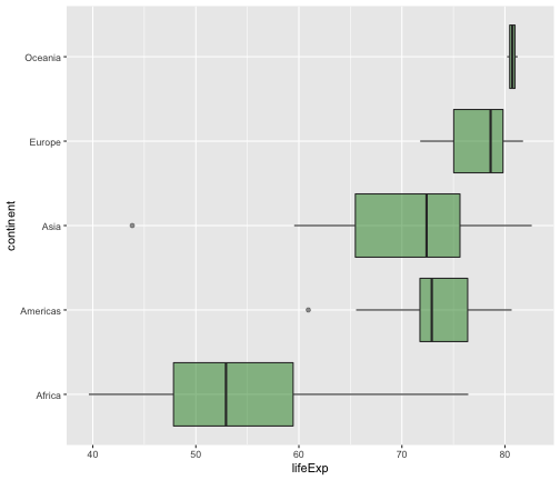
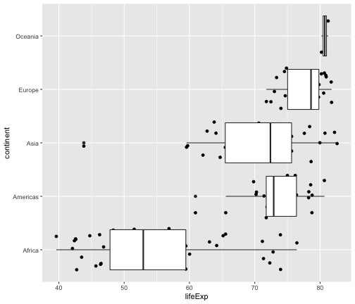
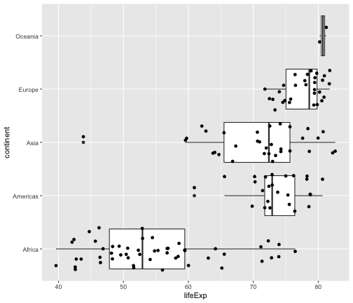
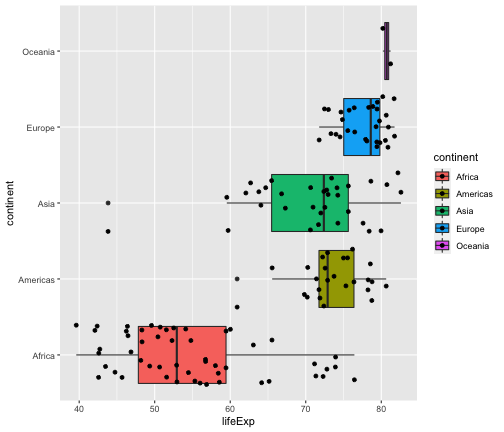
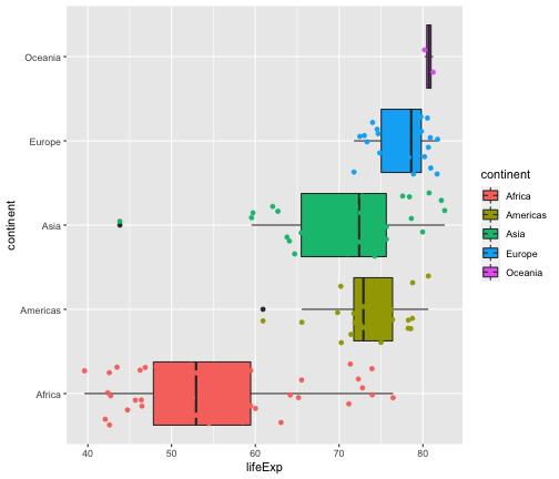
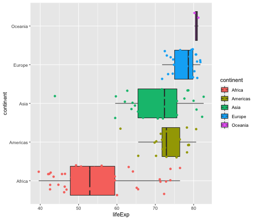
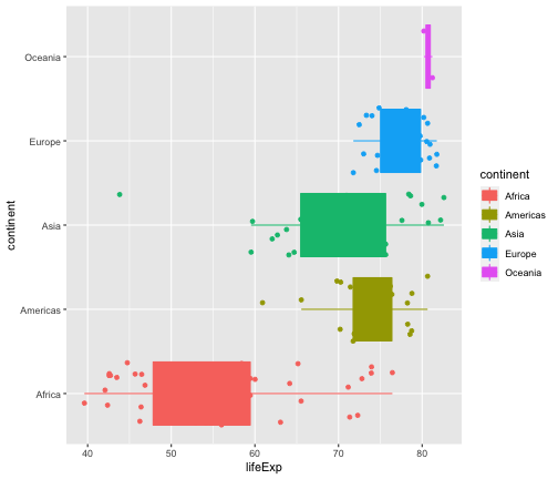
class: center, middle, inverse, title-slide # STA 517 3.0 Programming and Statistical Computing with R ## The Grammar of Graphics ### Dr Thiyanga Talagala ---  .tiny[.green[Acknowledgement: Justin Matejke and George Fitzmaurice, Autodesk Research, Canada]] --- # Grammar of Graphics .pull-left[ <img src="wilkinson.png" alt="knitrhex" height="500"/> ] .pull-right[ <img src="Leland.jpg" alt="knitrhex" width="350"/> ] --- # Packages ```r library(tidyverse) # To obtain ggplot2 library(magrittr) ``` <img src="ggplot2.png" alt="knitrhex" width="350"/> <img src="magrittrlogo.png" alt="rmarkdown" width="250"/> --- # Dataset ```r library(gapminder) glimpse(gapminder) ``` ``` Rows: 1,704 Columns: 6 $ country <fct> "Afghanistan", "Afghanistan", "Afghanistan", "Afghanistan", … $ continent <fct> Asia, Asia, Asia, Asia, Asia, Asia, Asia, Asia, Asia, Asia, … $ year <int> 1952, 1957, 1962, 1967, 1972, 1977, 1982, 1987, 1992, 1997, … $ lifeExp <dbl> 28.801, 30.332, 31.997, 34.020, 36.088, 38.438, 39.854, 40.8… $ pop <int> 8425333, 9240934, 10267083, 11537966, 13079460, 14880372, 12… $ gdpPercap <dbl> 779.4453, 820.8530, 853.1007, 836.1971, 739.9811, 786.1134, … ``` --- # Plotting with R ## Base R - using `plot()` function ## Using ggplot2: grammar of graphics 1. ggplot2 package: `qplot()` function - **q**plot: **quick** plot - very similar to how you graph with `plot()` function 2. ggplot2 package: `ggplot()` function - fully utilize the power of grammar --- # Grammar .pull-left[ ## English - Nouns - Article - Adjective - Verb - Adverb - Proposition ] .pull-right[ ## Graphics <img src="ggplotaes/scales.PNG" alt="knitrhex" height="500"/> ] --- # Grammar .pull-left[ ## English The little monkey hangs confidently by a branch. - Article: The - Adjective: little - Noun: monkey - Verb: hangs - Adverb: Confidently - Proposition: by - Noun: a branch ] .pull-right[ ## Graphics ```r ggplot(iris)+ aes(x = Sepal.Length, y = Sepal.Width)+ geom_point() ``` <!-- --> ] --- ## Elements of ggplot2 object - Data - Aesthetics: `x`, `y`, `col` - Geometrics: `geom_point`, `geom_boxplot` --- # Elements of ggplot2 object .pull-left[ <img src="ggplotaes/scales.PNG" alt="knitrhex" height="500"/> ] .pull-right[ - Data: `data` - Aesthetics: `aes` - Geometrics: `geom_*` ] --- background-image: url('ggplot2_paint_thiyanga.PNG') background-position: center background-size: contain --- class: duke-orange, center, middle # Making your first plot with ggplot --- # Data: data to be plotted .pull-left[ <img src="ggplotaes/data.PNG" alt="knitrhex" height="500"/> ] .pull-right[ ``` 'data.frame': 150 obs. of 5 variables: $ Sepal.Length: num 5.1 4.9 4.7 4.6 5 5.4 4.6 5 4.4 4.9 ... $ Sepal.Width : num 3.5 3 3.2 3.1 3.6 3.9 3.4 3.4 2.9 3.1 ... $ Petal.Length: num 1.4 1.4 1.3 1.5 1.4 1.7 1.4 1.5 1.4 1.5 ... $ Petal.Width : num 0.2 0.2 0.2 0.2 0.2 0.4 0.3 0.2 0.2 0.1 ... $ Species : Factor w/ 3 levels "setosa","versicolor",..: 1 1 1 1 1 1 1 1 1 1 ... ``` ] --- ## Data .left-code[ ```r ggplot(iris) ``` ] .right-plot[ <!-- --> ] --- ## Aesthetics: mapping variables .pull-left[ <img src="ggplotaes/aes.PNG" alt="knitrhex" height="500"/> ] .pull-left[ - x - y - colour - shape ] --- ## Data + Aesthetics .left-code[ ```r ggplot(iris, *aes(x =S epal.Length, * y = Sepal.Width)) ``` ] .right-plot[ <!-- --> ] --- # Geometrics .pull-left[ <img src="ggplotaes/geom.PNG" alt="knitrhex" height="500"/> ] .pull-right[ - geom_point - geom_boxplot ] --- ## Data + Aesthetics + Geometrics .left-code[ ```r ggplot(iris, aes(x = Sepal.Length, y = Sepal.Width))+ * geom_point() ``` ] .right-plot[ <!-- --> ] --- ## Data + Aesthetics + Geometrics .pull-left[ ```r ggplot(iris, aes(x = Sepal.Length, y = Sepal.Width))+ geom_point() ``` <!-- --> ] .pull-right[ <img src="ggplotaes/d1.PNG" alt="knitrhex" width="500"/> ] --- ## Data + Aesthetics + Geometrics .left-code[ ```r ggplot(iris, aes(x = Sepal.Length, y = Sepal.Width))+ * geom_point(col = "forestgreen") ``` ] .right-plot[ <!-- --> ] --- ## Data + Aesthetics + Geometrics .left-code[ ```r ggplot(iris, aes(x = Sepal.Length, y = Sepal.Width))+ geom_point(col = "forestgreen", * shape = 8) ``` ] .right-plot[ <!-- --> ] --- ## Data + Aesthetics + Geometrics .left-code[ ```r ggplot(iris, aes(x = Sepal.Length, y = Sepal.Width, * col = Species))+ geom_point() ``` ] .right-plot[ <!-- --> ] --- ## Data + Aesthetics + Geometrics .left-code[ ```r ggplot(iris, aes(x = Sepal.Length, y = Sepal.Width, col= Species))+ geom_point( * shape = 3 ) ``` ] .right-plot[ <!-- --> ] --- ## Data + Aesthetics + Geometrics .pull-left[ ```r ggplot(iris, aes(x = Sepal.Length, y = Sepal.Width, col = Species))+ geom_point() ``` <!-- --> ] .pull-right[ <img src="ggplotaes/d2.PNG" alt="knitrhex" width="500"/> ] --- # Facets: small multiples <img src="ggplotaes/facets.PNG" alt="knitrhex" height="500"/> --- ## Data + Aesthetics + Geometrics + Facets .left-code[ ```r ggplot(iris, aes(x = Sepal.Length, y = Sepal.Width, col = Species))+ geom_point()+ * facet_grid(~Species) ``` ] .right-plot[ <!-- --> ] --- ## Data + Aesthetics + Geometrics + Facets .left-code[ ```r ggplot(iris, aes(x = Sepal.Length, y = Sepal.Width, col = Species))+ geom_point()+ * facet_grid(Species ~.) ``` ] .right-plot[ <!-- --> ] --- # Statistics <img src="ggplotaes/stat.PNG" alt="knitrhex" height="500"/> --- ## Data + Aesthetics + Geometrics + Facets + Statistics .left-code[ ```r ggplot(iris, aes(x = Sepal.Length, y = Sepal.Width, col = Species))+ geom_point()+ facet_wrap(~Species)+ * stat_smooth(method = "lm", se = F, col ="red") ``` ] .right-plot[ <!-- --> ] --- ## Data + Aesthetics + Geometrics + Facets + Statistics .left-code[ ```r ggplot(iris, aes(x = Sepal.Length, y = Sepal.Width, col = Species))+ geom_point()+ facet_wrap( ~ Species)+ * stat_smooth(method = "lm", se = T, col = "red") ``` ] .right-plot[ <!-- --> ] --- # Coordinate <img src="ggplotaes/coord.PNG" alt="knitrhex" height="500"/> --- ## Data + Aesthetics + Geometrics + Facets + Statistics + Coordinate .left-code[ ```r ggplot(iris, aes(x = Sepal.Length, y = Sepal.Width, col = Species)) + geom_point() + facet_wrap( ~ Species) + stat_smooth(method = "lm", se = T, col = "red") + * coord_equal() ``` ] .right-plot[ <!-- --> ] --- # Theme <img src="ggplotaes/theme.PNG" alt="knitrhex" height="500"/> --- ## Data + Aesthetics + Geometrics + Facets + Statistics + Coordinate+ Theme .left-code[ ```r ggplot(iris, aes(x = Sepal.Length, y = Sepal.Width, col = Species)) + geom_point() + facet_wrap( ~ Species) + stat_smooth(method = "lm", se = T, col ="red") + coord_equal() + * theme(legend.position = "bottom") ``` ] .right-plot[ <img src="l12msc_files/figure-html/unnamed-chunk-19-1.png" width="100%" /> ] --- # Scale <img src="ggplotaes/scales.PNG" alt="knitrhex" height="500"/> --- ## Data + Aesthetics + Geometrics + Facets + Statistics + Coordinate + Theme + Scale .left-code[ ```r ggplot(iris, aes(x = Sepal.Length, y = Sepal.Width, col = Species)) + geom_point() + facet_wrap( ~ Species) + stat_smooth(method = "lm", se = T, col = "red") + coord_equal() + theme(legend.position = "bottom") + * scale_color_manual(values = c("#1b9e77", "#d95f02", "#7570b3")) ``` ] .right-plot[ <img src="l12msc_files/figure-html/unnamed-chunk-20-1.png" width="100%" /> ] --- ## titles and axes labels .left-code[ ```r ggplot(iris, aes(x = Sepal.Length, y = Sepal.Width, col = Species)) + geom_point() + facet_wrap( ~ Species) + stat_smooth(method = "lm", se = T, col = "red") + coord_equal() + theme(legend.position = "bottom") + scale_color_manual(values = c("#1b9e77", "#d95f02", "#7570b3"))+ *labs(title="Scatter plot of Sepal Length vs Sepal Width", x ="Sepal Length (cm)", y = "Sepal Width (cm)") ``` ] .right-plot[ <img src="l12msc_files/figure-html/unnamed-chunk-21-1.png" width="100%" /> ] --- class: duke-green, middle # Your turn Dataset: gapminder Visualize the relationship between life expectancy, GDP per capita and continent in 2007. --- .left-code[ ```r gapminder2007 <- gapminder %>% filter(year == 2007) ggplot(gapminder2007, aes(x = lifeExp, y = gdpPercap, col=continent)) + geom_point() + theme(legend.position = "bottom") + labs(title = "Relationship between life expectancy and GPD per capita by continent - 2007", x ="life expectancy at birth, in years", y = "GDP per capita (US$, inflation-adjusted)") ``` ] .right-plot[ <!-- --> ] --- # Add a vertical line .left-code[ ```r gapminder2007 <- gapminder %>% filter(year == 2007) ggplot(gapminder2007, aes(x = lifeExp, y = gdpPercap, col=continent)) + geom_point() + * geom_vline(xintercept = 70) ``` ] .right-plot[ <!-- --> ] --- # Add a horizontal line .left-code[ ```r gapminder2007 <- gapminder %>% filter(year == 2007) ggplot(gapminder2007, aes(x = lifeExp, y = gdpPercap, col=continent)) + geom_point() + * geom_hline(yintercept = 20000) ``` ] .right-plot[ <!-- --> ] --- # Add a diagonal line .left-code[ ```r gapminder2007 <- gapminder %>% filter(year == 2007) ggplot(gapminder2007, aes(x = lifeExp, y = gdpPercap, col=continent)) + geom_point() + * geom_abline(intercept = 20, slope=200) ``` ] .right-plot[ <!-- --> ] --- # All Geoms ``` [1] "geom_abline" "geom_area" "geom_bar" [4] "geom_bin_2d" "geom_bin2d" "geom_blank" [7] "geom_boxplot" "geom_col" "geom_contour" [10] "geom_contour_filled" "geom_count" "geom_crossbar" [13] "geom_curve" "geom_density" "geom_density_2d" [16] "geom_density_2d_filled" "geom_density2d" "geom_density2d_filled" [19] "geom_dotplot" "geom_errorbar" "geom_errorbarh" [22] "geom_freqpoly" "geom_function" "geom_hex" [25] "geom_histogram" "geom_hline" "geom_jitter" [28] "geom_label" "geom_line" "geom_linerange" [31] "geom_map" "geom_path" "geom_point" [34] "geom_pointrange" "geom_polygon" "geom_qq" [37] "geom_qq_line" "geom_quantile" "geom_raster" [40] "geom_rect" "geom_ribbon" "geom_rug" [43] "geom_segment" "geom_sf" "geom_sf_label" [46] "geom_sf_text" "geom_smooth" "geom_spoke" [49] "geom_step" "geom_text" "geom_tile" [52] "geom_violin" "geom_vline" ``` --- # geom_boxplot .left-code[ ```r ggplot(gapminder2007, aes(x=lifeExp, y=continent)) + geom_boxplot() ``` ] .right-plot[ <!-- --> ] --- # geom_boxplot .left-code[ ```r ggplot(gapminder2007, aes(x=lifeExp, y=continent, color=continent)) + geom_boxplot() ``` ] .right-plot[ <!-- --> ] --- # geom_boxplot .left-code[ ```r ggplot(gapminder2007, aes(x=lifeExp, y=continent, fill=continent)) + geom_boxplot() ``` ] .right-plot[ <!-- --> ] --- # geom_boxplot .left-code[ ```r ggplot(gapminder2007, aes(x=lifeExp, y=continent)) + geom_boxplot(fill="forestgreen") ``` ] .right-plot[ <!-- --> ] --- # geom_boxplot .left-code[ ```r ggplot(gapminder2007, aes(x=lifeExp, y=continent)) + geom_boxplot(fill="forestgreen", alpha=0.5) ``` ] .right-plot[ <!-- --> ] --- # geom_point .left-code[ ```r ggplot(gapminder2007, aes(x=lifeExp, y=continent)) + geom_point() ``` ] .right-plot[ <!-- --> ] --- # geom_jitter .left-code[ ```r ggplot(gapminder2007, aes(x=lifeExp, y=continent)) + geom_jitter() ``` ] .right-plot[ <!-- --> ] --- # geom_jitter + geom_boxplot .left-code[ ```r ggplot(gapminder2007, aes(x=lifeExp, y=continent)) + geom_jitter() + geom_boxplot() ``` ] .right-plot[ <!-- --> ] --- # geom_jitter + geom_boxplot .left-code[ ```r ggplot(gapminder2007, aes(x=lifeExp, y=continent)) + geom_jitter() + geom_boxplot(alpha=0.5) ``` ] .right-plot[ <!-- --> ] --- # geom_jitter + geom_boxplot .left-code[ ```r ggplot(gapminder2007, aes(x=lifeExp, y=continent)) + geom_boxplot() + geom_jitter() ``` ] .right-plot[ <!-- --> ] --- # geom_jitter + geom_boxplot .left-code[ ```r ggplot(gapminder2007, aes(x=lifeExp, y=continent, fill=continent)) + geom_boxplot() + geom_jitter() ``` ] .right-plot[ <!-- --> ] --- # geom_jitter + geom_boxplot .left-code[ ```r ggplot(gapminder2007, aes(x=lifeExp, y=continent, fill=continent)) + geom_boxplot() + geom_jitter(aes(col=continent)) ``` ] .right-plot[ <!-- --> ] --- # geom_jitter + geom_boxplot (outlier.shape = NA) .left-code[ ```r ggplot(gapminder2007, aes(x = lifeExp, y = continent, fill = continent)) + * geom_boxplot(outlier.shape = NA) + geom_jitter(aes(col = continent)) ``` ] .right-plot[ <!-- --> ] --- # geom_jitter + geom_boxplot .left-code[ ```r *ggplot(gapminder2007, aes(x=lifeExp, y=continent, fill=continent, col=continent))+ geom_boxplot(outlier.shape = NA) + geom_jitter(aes(col=continent)) ``` ] .right-plot[ <!-- --> ] --- # geom_jitter + geom_boxplot .left-code[ ```r ggplot(gapminder2007, aes(x=lifeExp, y=continent, fill=continent, col=continent))+ * geom_boxplot(outlier.shape = NA, alpha=0.2) + geom_jitter(aes(col=continent)) ``` ] .right-plot[ <!-- --> ] --- # geom_jitter + geom_boxplot + coord_flip .left-code[ ```r ggplot(gapminder2007, aes(x=lifeExp, y=continent, fill=continent, col=continent))+ geom_boxplot(outlier.shape = NA, alpha=0.2) + geom_jitter(aes(col=continent)) + * coord_flip() ``` ] .right-plot[ <!-- --> ] --- # geom_boxplot .left-code[ ```r ggplot(gapminder2007, aes(y=lifeExp))+ geom_boxplot() ``` ] .right-plot[ <!-- --> ] --- # geom_boxplot + facet_wrap .left-code[ ```r ggplot(gapminder2007, aes(y = lifeExp))+ geom_boxplot() + facet_wrap(~continent, ncol = 5) ``` ] .right-plot[ <!-- --> ] --- # geom_density .left-code[ ```r ggplot(gapminder2007, aes(x=lifeExp))+ * geom_density() + facet_wrap(~continent, ncol=5) ``` ] .right-plot[ <!-- --> ] --- class: duke-green, middle # Your turn Modify the code below to obtain the following plot. .left-code[ ```r ggplot(gapminder2007, aes(x=lifeExp))+ geom_density() ``` ] .right-plot[ <!-- --> ] --- # geom_histogram .left-code[ ```r ggplot(gapminder2007, aes(x=lifeExp))+ * geom_histogram() ``` ] .right-plot[ <!-- --> ] --- # geom_bar .left-code[ ```r ggplot(gapminder2007, aes(x=continent))+ geom_bar() ``` ] .right-plot[ <!-- --> ] --- class: duke-green, middle # Your turn Modify the code below to obtain the following plot. .left-code[ ```r ggplot(gapminder2007, aes(x=continent))+ geom_bar() ``` ] .right-plot[ <!-- --> ] --- ## geom_bar (stat="identity") Method 1 ```r cut.percent <- data.frame(cut=c("Fair", "Good", "Very Good", "Premium", "Ideal"), percent=c(3, 9, 22.4, 25.6, 40)) cut.percent ``` ``` cut percent 1 Fair 3.0 2 Good 9.0 3 Very Good 22.4 4 Premium 25.6 5 Ideal 40.0 ``` ```r ggplot(data=cut.percent, aes(x=cut, y=percent)) + geom_bar(stat="identity") ``` <!-- --> --- ## geom_col Method 2 ```r cut.percent <- data.frame(cut=c("Fair", "Good", "Very Good", "Premium", "Ideal"), percent=c(3, 9, 22.4, 25.6, 40)) cut.percent ``` ``` cut percent 1 Fair 3.0 2 Good 9.0 3 Very Good 22.4 4 Premium 25.6 5 Ideal 40.0 ``` ```r ggplot(data=cut.percent, aes(x=cut, y=percent)) + geom_col() ``` <!-- --> --- ## Change the order of levels Method 2 ```r cut.percent <- data.frame(cut=c("Fair", "Good", "Very Good", "Premium", "Ideal"), percent=c(3, 9, 22.4, 25.6, 40)) cut.percent$cut <- factor(cut.percent$cut, levels = c("Fair", "Good", "Very Good", "Premium", "Ideal")) ``` ```r ggplot(data=cut.percent, aes(x=cut, y=percent)) + geom_col() ``` <!-- --> --- # geom_point .left-code[ ```r gapminder %>% filter(country == "India") %>% ggplot(aes(x = year, y = gdpPercap)) + geom_point() ``` ] .right-plot[ <!-- --> ] --- # geom_line .left-code[ ```r gapminder %>% filter(country == "India") %>% ggplot(aes(x = year, y = gdpPercap)) + geom_line() ``` ] .right-plot[ <!-- --> ] --- # geom_line + geom_point .left-code[ ```r gapminder %>% filter(country == "India") %>% ggplot(aes(x = year, y = gdpPercap)) + geom_line() + geom_point() ``` ] .right-plot[ <!-- --> ] --- class: duke-green, middle # Your turn Modify the code below to obtain the following plot. ```r gapminder %>% filter(country == "India") %>% ggplot(aes(x = year, y = gdpPercap)) + geom_line() + geom_point() ``` <!-- --> --- # Data Wrangling + Data Visualization ```r avglifeExp <- gapminder %>% group_by(continent, year) %>% summarise(meanlifeExp=mean(lifeExp)) ``` ``` `summarise()` has grouped output by 'continent'. You can override using the `.groups` argument. ``` ```r avglifeExp ``` ``` # A tibble: 60 × 3 # Groups: continent [5] continent year meanlifeExp <fct> <int> <dbl> 1 Africa 1952 39.1 2 Africa 1957 41.3 3 Africa 1962 43.3 4 Africa 1967 45.3 5 Africa 1972 47.5 6 Africa 1977 49.6 7 Africa 1982 51.6 8 Africa 1987 53.3 9 Africa 1992 53.6 10 Africa 1997 53.6 # … with 50 more rows ``` --- class: duke-green, middle # Your turn Write an R code to reproduce the plot below. Hint: use `avglifeExp` <!-- --> --- class: duke-green, middle # Your turn Write an R code to reproduce the plot below. <!-- --> --- class: duke-green, middle # Your turn Write an R code to reproduce the plot below. <!-- --> Hint: Next slide --- ```r gapminder %>% ggplot(aes(y=log(lifeExp), x=log(gdpPercap), color=continent)) + geom_point() + labs(y = "log(Life Expectancy)", x = "log(GDP per capita)") ``` <!-- --> --- class: duke-green, middle # Your turn Write an R code to reproduce the plot below. <!-- --> --- # geom_point .left-code[ ```r ggplot(gapminder, aes(x=year, y=gdpPercap, colour=continent))+geom_point() ``` ] .right-plot[ <!-- --> ] --- # geom_smooth .left-code[ ```r ggplot(gapminder, aes(x=year, y=gdpPercap, colour=continent))+ *geom_smooth() ``` ] .right-plot[ <!-- --> ] --- class: duke-green, middle # Your turn Write an R code to reproduce the plot below. <!-- --> --- class: duke-green, middle # Your turn Write an R code to reproduce the plot below. <!-- --> --- class: duke-green, middle # Your turn Write an R code to visualize the shape of standard normal distribution. Hint: `dnorm` <!-- --> --- # Recap .pull-left[ ## aes - x - y - colour - size ## geom - geom_point - geom_jitter - geom_line - geom_bar - geom_col - geom_histogram - geom_smooth - geom_density - geom_abline - geom_vline - geom_hline ] .pull-right[ ## geom arguments - colour - fill - size - alpha - shape ## other elements - labs - coord_equal - coord_flip - scale_colour_manual - labs - facet_wrap - theme ] --- ## Your turn EDA on prnguins dataset --- class: center, middle Slides available at: hellor.netlify.app All rights reserved by [Thiyanga S. Talagala](https://thiyanga.netlify.com/)